Courses
Courses for Kids
Free study material
Offline Centres
More
Store Icon
Store

CBSE Important Questions for Class 12 Chemistry Amines - 2025-26

ffImage
banner

Amines Class 12 important questions with answers PDF download

Free PDF download of Important Questions for CBSE Class 12 Chemistry Chapter 9 - Amines prepared by expert Chemistry teachers from latest edition of CBSE(NCERT) books. Register online for Chemistry tuition on Vedantu.com to score more marks in CBSE board examination.

Competitive Exams after 12th Science
tp-imag
bottom-arrow
tp-imag
bottom-arrow
tp-imag
bottom-arrow
tp-imag
bottom-arrow
tp-imag
bottom-arrow
tp-imag
bottom-arrow
More Free Study Material for Coordination Compounds
icons
Ncert solutions
967.2k views 12k downloads
icons
Revision notes
893.4k views 11k downloads

Boost Your Performance in CBSE Class 12 Chemistry Exam Chapter 9 with Important Questions

Short Questions and Answers (2 Marks Questions)

1. Write IUPAC names of the following:


The IUPAC name of the given compound is 2 – Butylamine.


Ans. The IUPAC name of the given compound is 2 – Butylamine.

(ii) ${\text{C}}{{\text{H}}_{\text{3}}}{\text{NHCH(C}}{{\text{H}}_{\text{3}}}{{\text{)}}_{\text{2}}}$ 

Ans. The IUPAC name of the given compound is N-Methyl-2-methylethanamine

(iii) ${{\text{(C}}{{\text{H}}_{\text{3}}}{\text{)}}_{\text{3}}}{\text{N}}$ 

Ans. The IUPAC name of the given compound is trimethylamine.

(iv) ${{\text{C}}_{\text{6}}}{{\text{H}}_{\text{5}}}{\text{NHC}}{{\text{H}}_{\text{3}}}$ 

Ans. The IUPAC name of the given compound is N-methyl aniline.

(v)

The IUPAC name of this compound is N-Phenylacetamide


Ans. The IUPAC name of this compound is N-Phenylacetamide

(vi)

he IUPAC name of this compound is Trimethylphenylammonium bromide


Ans. The IUPAC name of this compound is Trimethylphenylammonium bromide

(Vii)

The IUPAC name of this compound is 4-Methoxyaniline.


 Ans. The IUPAC name of this compound is 4-Methoxyaniline.


(Viii) ${{\text{H}}_{\text{2}}}{\text{N(C}}{{\text{H}}_{\text{2}}}{{\text{)}}_{\text{6}}}{\text{N}}{{\text{H}}_{\text{2}}}$ 

Ans. The IUPAC name of the given compound is Hexane-1,6-diamine.

(ix)

The IUPAC name of this compound is diphenylamine or N-Phenylaniline.


Ans. The IUPAC name of this compound is diphenylamine or N-Phenylaniline.

(x)

The IUPAC name of this compound is N-Hydroxyaniline.


Ans. The IUPAC name of this compound is N-Hydroxyaniline.


2. Giving an example of each, describe the following reactions:

  1. Hoffman Bromamide Reaction

Ans. The reaction can be shown as:


Hoffman bromamide reaction


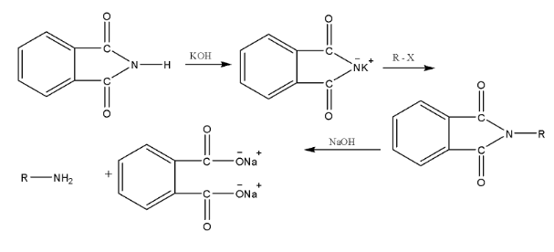
  1. Gabriel Phthanlimide Synthesis

Ans. The reaction can be shown as a conversion of  phthalimide to primary amine:


Gabriel phthanlimide synthesis


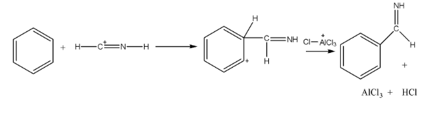
  1. Gatterman Reaction

Ans. Gatterman reaction between benzene to benzaldimine is shown as:


Gatterman reaction


  1. Coupling Reaction

Ans. The coupling reaction for the conversion of aniline to azo dye is shown as:


Coupling Reaction


  1. Carbylamine Reaction

Ans. The carbylamines reaction is given as a conversion of aniline to phenylisocyanide as:


Carbylamine reaction


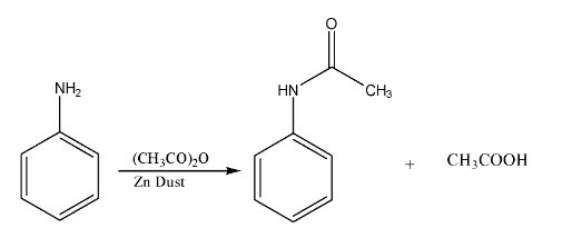
  1. Acetylation of Aniline

Ans. Acetanilide is synthesized after the acetylation of aniline:


Acetylation of aniline


3. Describe the Hinsberg’s test for identification of primary, secondary and tertiary amines. Also write the chemical equations of the reactions involved.

Ans. Hinsberg test: Benzenesulphonyl chloride \[\left( {{{\text{C}}_6}{{\text{H}}_5}{\text{S}}{{\text{O}}_2}{\text{Cl}}} \right)\], commonly known as Hinsberg's reagent, forms sulphonamides when it interacts with primary and secondary amines.

  1. For Primary Amines: N-ethylbenzenesulphonyl amide is produced by reacting benzenesulphonyl chloride with primary amine. Because of the strong electron withdrawing sulphonyl group, the hydrogen linked to nitrogen in sulphonamide is highly acidic. As a result, it is alkali soluble.

Hinsberg test for Primary amine

  1. For Secondary Amines: N,N-diethylbenzenesulphonamide is produced in the reaction with secondary amine. It is not acidic and hence insoluble in alkali because N, N-diethylbenzene sulphonamide has no hydrogen atom linked to the nitrogen atom.


(nned)

  1. For Tertiary Amines: Benzenesulphonyl chloride does not react with tertiary amines. This characteristic of amines reacting differently with benzenesulphonyl chloride is used to distinguish primary, secondary, and tertiary amines, as well as to separate a mixture of amines.


4. Arrange the following in the increasing order of given property indicated

  1. \[{{\text{C}}_{\text{2}}}{{\text{H}}_{\text{5}}}{\text{N}}{{\text{H}}_{\text{2}}}\] , \[{\left( {{{\text{C}}_{\text{2}}}{{\text{H}}_{\text{5}}}} \right)_{\text{2}}}{\text{NH}}\] , \[{\left( {{{\text{C}}_{\text{2}}}{{\text{H}}_{\text{5}}}} \right)_{\text{3}}}{\text{N}}\] and ${\text{N}}{{\text{H}}_{\text{3}}}$  , (Basic strength in aqueous solution).

Ans. The increasing order of basic strength in aqueous solution is:

${\text{N}}{{\text{H}}_{\text{3}}} < {{\text{C}}_{\text{2}}}{{\text{H}}_{\text{5}}}{\text{N}}{{\text{H}}_{\text{2}}} < {{\text{(}}{{\text{C}}_{\text{2}}}{{\text{H}}_{\text{5}}}{\text{)}}_{\text{3}}}{\text{N}} < {{\text{(}}{{\text{C}}_{\text{2}}}{{\text{H}}_{\text{5}}}{\text{)}}_2}{\text{NH}}$ 

  1. \[{{\text{C}}_{\text{2}}}{{\text{H}}_{\text{5}}}{\text{N}}{{\text{H}}_{\text{2}}}\] , \[{\left( {{{\text{C}}_{\text{2}}}{{\text{H}}_{\text{5}}}} \right)_{\text{2}}}{\text{NH}}\] , \[{\left( {{{\text{C}}_{\text{2}}}{{\text{H}}_{\text{5}}}} \right)_{\text{3}}}{\text{N}}\] and ${\text{N}}{{\text{H}}_{\text{3}}}$  , (Basic strength in gaseous phase).

Ans. The increasing order of basic strength in gaseous phase is:

${\text{N}}{{\text{H}}_3} < {{\text{C}}_{\text{2}}}{{\text{H}}_{\text{5}}}{\text{N}}{{\text{H}}_{\text{2}}} < {{\text{(}}{{\text{C}}_{\text{2}}}{{\text{H}}_{\text{5}}}{\text{)}}_{\text{2}}}{\text{NH}} < {{\text{(}}{{\text{C}}_{\text{2}}}{{\text{H}}_{\text{5}}}{\text{)}}_{\text{3}}}{\text{N}}$ 

  1. Aniline, p-toluidine, p-nitroaniline. (Basic strength).

Ans. The increasing order of basic strength of the compounds is given as:

p-nitroaniline < Aniline < p-toluidine

  1. ${{\text{C}}_{\text{2}}}{{\text{H}}_{\text{5}}}{\text{OH}}$ , \[{\left( {{\text{C}}{{\text{H}}_{\text{3}}}} \right)_{\text{2}}}{\text{HN}}\], \[{{\text{C}}_{\text{2}}}{{\text{H}}_{\text{5}}}{\text{N}}{{\text{H}}_{\text{2}}}\] (Boiling point)

Ans. The increasing order of boiling points of the compounds given is:

${{\text{(C}}{{\text{H}}_{\text{3}}}{\text{)}}_{\text{2}}}{\text{NH  <  }}{{\text{C}}_{\text{2}}}{{\text{H}}_{\text{5}}}{\text{N}}{{\text{H}}_{\text{2}}}{\text{ <  }}{{\text{C}}_{\text{2}}}{{\text{H}}_{\text{5}}}{\text{OH}}$

 

5. Identify A and B in the following reactions:

  1. ${\text{C}}{{\text{H}}_{\text{3}}}{\text{C}}{{\text{H}}_{\text{2}}}{\text{Cl  +  N}}{{\text{H}}_{\text{3}}}{\text{(Excess)}}\xrightarrow[{{\text{O}}{{\text{H}}^{\text{ - }}}}]{{{\text{373 K}}}}{\text{A}}$ 

Ans. The given equation can be completed as:

${\text{C}}{{\text{H}}_{\text{3}}}{\text{C}}{{\text{H}}_{\text{2}}}{\text{Cl  +  N}}{{\text{H}}_{\text{3}}}{\text{(Excess)}}\xrightarrow[{{\text{O}}{{\text{H}}^{\text{ - }}}}]{{{\text{373 K}}}}{\text{C}}{{\text{H}}_{\text{3}}}{\text{C}}{{\text{H}}_{\text{2}}}{\text{N}}{{\text{H}}_{\text{2}}} + {\text{HCl}}$

  1. ${\text{C}}{{\text{H}}_{\text{3}}}{\text{C}}{{\text{H}}_{\text{2}}}{\text{Cl (excess)  +  N}}{{\text{H}}_3}\xrightarrow[{{\text{O}}{{\text{H}}^ - }}]{{{\text{373 K}}}}$ 

Ans. The given equation can be completed as:

${\text{C}}{{\text{H}}_{\text{3}}}{\text{C}}{{\text{H}}_{\text{2}}}{\text{Cl (excess)  +  N}}{{\text{H}}_3}\xrightarrow[{{\text{O}}{{\text{H}}^ - }}]{{{\text{373 K}}}}{{\text{(}}{{\text{C}}_{\text{2}}}{{\text{H}}_{\text{5}}}{\text{)}}_{\text{4}}}{{\text{N}}^{\text{ + }}}{\text{C}}{{\text{l}}^ - }$


6. How will you bring about the following conversions?

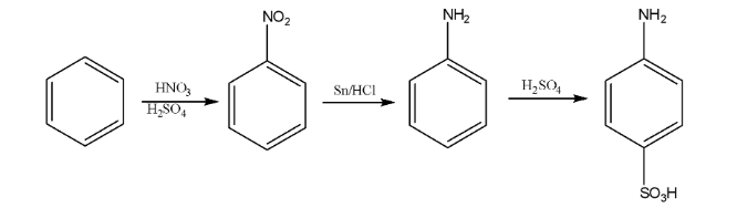
  1. Benzene to Aniline 

Ans. The conversion of benzene to aniline is as followed:


Hinsberg test for secondary amine


  1. Aniline to benzene 

Ans. The conversion of aniline to benzene is as followed:


conversion of benzene to aniline


  1. Ethanoic acid to ethanamine 

Ans. The conversion of ethanoic acid to ethanamine is as followed:

${\text{C}}{{\text{H}}_{\text{3}}}{\text{COOH}}\xrightarrow{{{\text{N}}{{\text{H}}_3}}}{\text{C}}{{\text{H}}_{\text{3}}}{\text{CO}}{{\text{O}}^ - }{\text{N}}{{\text{H}}_{\text{4}}}^ + \xrightarrow[\Delta ]{}{\text{C}}{{\text{H}}_{\text{3}}}{\text{CON}}{{\text{H}}_2}\xrightarrow{{{\text{LiAl}}{{\text{H}}_4}}}{\text{C}}{{\text{H}}_{\text{3}}}{\text{C}}{{\text{H}}_{\text{2}}}{\text{N}}{{\text{H}}_{\text{2}}}\,$ 

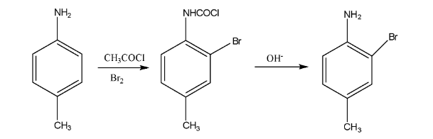
  1. p-toluidine to 2-bromo-4-methylaniline 

Ans. The conversion of p-toluidine to 2-bromo-4-methylaniline is as followed:


Aniline to benzene conversion


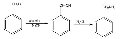
  1. Methylbromide to ethanamine

Ans. The conversion of methylbromide to ethanamine is as followed:

${\text{C}}{{\text{H}}_{\text{3}}}{\text{Br  +  KCN}} \to {\text{C}}{{\text{H}}_{\text{3}}}{\text{CN  +  KBr}}$ 

${\text{C}}{{\text{H}}_{\text{3}}}{\text{CN  +  4[H]}}\xrightarrow[{{\text{Alc}}{\text{.}}}]{{{\text{Na}}}}{\text{C}}{{\text{H}}_{\text{3}}}{\text{C}}{{\text{H}}_{\text{2}}}{\text{N}}{{\text{H}}_{\text{2}}}$ 

  1. Benzenediazonium chloride to nitrobenzene

Ans. The conversion of benzenediazonium chloride to nitrobenzene is as followed:


conversion of p-toluidine to 2-bromo-4-methylaniline


  1. Ethylamine to methylamine 

Ans. The conversion of ethylamine to methylamine is as followed:

\[{\text{C}}{{\text{H}}_{\text{3}}}{\text{C}}{{\text{H}}_{\text{2}}}{\text{N}}{{\text{H}}_{\text{2}}}\xrightarrow{{{\text{HN}}{{\text{O}}_2}}}{\text{C}}{{\text{H}}_{\text{3}}}{\text{C}}{{\text{H}}_{\text{2}}}{\text{OH}}\xrightarrow{{{\text{[O]}}}}{\text{C}}{{\text{H}}_{\text{3}}}{\text{COOH}}\xrightarrow{{{\text{PC}}{{\text{l}}_5}}}{\text{C}}{{\text{H}}_{\text{3}}}{\text{COCl}}\xrightarrow{{{\text{N}}{{\text{H}}_3}}}{\text{C}}{{\text{H}}_{\text{3}}}{\text{CON}}{{\text{H}}_{\text{2}}}\xrightarrow{{{\text{B}}{{\text{r}}_2}/{\text{KOH}}}}{\text{C}}{{\text{H}}_{\text{3}}}{\text{N}}{{\text{H}}_{\text{2}}}\] 

  1. Benzene to sulphanilic acid

Ans. The conversion of benzene to sulphanilic acid is as followed:


conversion of benzenediazonium chloride to nitrobenzene


  1. Hexanenitrile to 1-aminopentane

Ans. The conversion of hexanenitrile to 1-aminopentane is as followed:

${{\text{C}}_{\text{5}}}{{\text{H}}_{{\text{11}}}}{\text{CN}}\xrightarrow{{{{\text{H}}^ + }/{{\text{H}}_2}{\text{O}}}}{{\text{C}}_{\text{5}}}{{\text{H}}_{{\text{11}}}}{\text{COOH}}\xrightarrow{{{\text{SOC}}{{\text{l}}_2}}}{{\text{C}}_{\text{5}}}{{\text{H}}_{{\text{11}}}}{\text{COCl}}\xrightarrow[{{\text{Excess}}}]{{{\text{N}}{{\text{H}}_3}}}{{\text{C}}_{\text{5}}}{{\text{H}}_{{\text{11}}}}{\text{CON}}{{\text{H}}_{\text{2}}}\xrightarrow{{{\text{B}}{{\text{r}}_2}/{\text{KOH}}}}{{\text{C}}_{\text{5}}}{{\text{H}}_{{\text{11}}}}{\text{N}}{{\text{H}}_{\text{2}}}$ 


7. Write the products formed in the following sequence of reactions:

${\text{C}}{{\text{H}}_{\text{3}}}{\text{C}}{{\text{H}}_{\text{2}}}{\text{I}}\xrightarrow{{{\text{NaCN}}}}{\text{A}}\xrightarrow[{{\text{Partial Hydrolysis}}}]{{{\text{O}}{{\text{H}}^ - }}}{\text{B}}\xrightarrow{{{\text{B}}{{\text{r}}_2}/{\text{NaOH}}}}{\text{C}}$ 

Ans. The products formed are:

${\text{C}}{{\text{H}}_{\text{3}}}{\text{C}}{{\text{H}}_{\text{2}}}{\text{I}}\xrightarrow{{{\text{NaCN}}}}{\text{C}}{{\text{H}}_{\text{3}}}{\text{C}}{{\text{H}}_{\text{2}}}{\text{CN}}\xrightarrow[{{\text{Partial Hydrolysis}}}]{{{\text{O}}{{\text{H}}^ - }}}{\text{C}}{{\text{H}}_{\text{3}}}{\text{C}}{{\text{H}}_{\text{2}}}{\text{CON}}{{\text{H}}_{\text{2}}}\xrightarrow{{{\text{B}}{{\text{r}}_2}/{\text{NaOH}}}}{\text{C}}{{\text{H}}_{\text{3}}}{\text{C}}{{\text{H}}_{\text{2}}}{\text{N}}{{\text{H}}_{\text{2}}}$


8. Identify the missing reagent/product in the following reactions:

  1. seo images

Ans. The missing reagents/products are:

conversion of benzene to sulphanilic acid


  1. The missing reagents/products

Ans. The missing reagents/products are:

Conversion of benzyl bromide benzyl amine

  1. ${{\text{C}}_{\text{6}}}{{\text{H}}_{\text{5}}}{{\text{N}}_2}^{\text{ + }}{\text{C}}{{\text{l}}^ - }\xrightarrow{{{\text{CuCN}}}}{\text{A}}\xrightarrow{{{{\text{H}}_2}{\text{O/}}{{\text{H}}^ + }}}{\text{B}}$ 

Ans. The missing reagents/products are:

${{\text{C}}_{\text{6}}}{{\text{H}}_{\text{5}}}{{\text{N}}_2}^{\text{ + }}{\text{C}}{{\text{l}}^ - }\xrightarrow{{{\text{CuCN}}}}{{\text{C}}_{\text{6}}}{{\text{H}}_{\text{5}}}{\text{CN}}\xrightarrow{{{{\text{H}}_2}{\text{O/}}{{\text{H}}^ + }}}{{\text{C}}_{\text{6}}}{{\text{H}}_{\text{5}}}{\text{COOH}}$

  1. ${{\text{C}}_{\text{6}}}{{\text{H}}_{\text{5}}}{\text{N}}{{\text{O}}_{\text{2}}}\xrightarrow{{{\text{Fe/HCl}}}}{\text{A}}\xrightarrow{{{{\text{H}}_2}{\text{S}}{{\text{O}}_4}}}{\text{B}}\xrightarrow[\Delta ]{}{\text{C}}$ 

Ans. The missing reagents/products are:

${{\text{C}}_{\text{6}}}{{\text{H}}_{\text{5}}}{\text{N}}{{\text{O}}_{\text{2}}}\xrightarrow{{{\text{Fe/HCl}}}}{{\text{C}}_{\text{6}}}{{\text{H}}_{\text{5}}}{\text{N}}{{\text{H}}_{\text{2}}}\xrightarrow{{{{\text{H}}_2}{\text{S}}{{\text{O}}_4}}}{{\text{C}}_{\text{6}}}{{\text{H}}_{\text{5}}}{{\text{N}}^{\text{ + }}}{{\text{H}}_{\text{3}}}{\text{HS}}{{\text{O}}_4}^ - \xrightarrow[\Delta ]{}{{\text{C}}_{\text{6}}}{{\text{H}}_{\text{5}}}{\text{N}}{{\text{H}}_{\text{2}}}{\text{S}}{{\text{O}}_{\text{3}}}{\text{H}}$

  1.    

    The missing reagents/products

Ans. The missing reagents/products are:

Conversion of aniline to p-nitroaniline
  

9. Give one chemical test to distinguish between the following pairs of compounds: 

  1. Methylamine and dimethylamine 

Ans. Methylamine and dimethylamine can be distinguished by carbylamines test:

Carbylamine test: Aliphatic and aromatic primary amines create foul-smelling isocyanides or carbylamines when heated with chloroform and ethanolic potassium hydroxide. The Carbylamine test is positive for methylamine (an aliphatic primary amine), but not for dimethylamine.

\[{\text{C}}{{\text{H}}_{\text{3}}}{\text{ - N}}{{\text{H}}_{\text{2}}}{\text{ +  CHC}}{{\text{l}}_{\text{3}}}{\text{ +  3KOH}}\xrightarrow{\Delta }{\text{C}}{{\text{H}}_{\text{3}}}{\text{ - NC  +  3KCl  +  3}}{{\text{H}}_{\text{2}}}\] 

${{\text{(C}}{{\text{H}}_{\text{3}}}{\text{)}}_{\text{2}}}{\text{NH  +  CHC}}{{\text{l}}_{\text{3}}}{\text{ +  3KOH}}\xrightarrow{\Delta }{\text{No reaction}}$ 

  1. Secondary and tertiary amines 

Ans. Allowing secondary and tertiary amines to react with Hinsberg's reagent distinguishes them (Benzenesulphonyl chloride, \[{{\text{C}}_{\text{6}}}{{\text{H}}_{\text{5}}}{\text{S}}{{\text{O}}_{\text{2}}}{\text{Cl}}\]). Secondary amines react with Hinsberg's reagent to produce an alkali-insoluble product. N, Ndiethylamine, for example, interacts with Hinsberg's reagent to produce N, Ndiethylbenzenesulphonamide, which is insoluble in alkali. Hinsberg's reagent, on the other hand, does not react with tertiary amines.

  1. Ethylamine and aniline 

Ans. The azo-dye test can differentiate between ethylamine and aniline. A reaction of aromatic amines with ${\text{HN}}{{\text{O}}_{\text{2}}}$  (${\text{NaN}}{{\text{O}}_{\text{2}}}$  + dil.${\text{HCl}}$ ) at 0-5°C produces a dye, the produced dye then undergoes a reaction with an alkaline solution of 2-naphthol. The colour of the dye is generally yellow, red, or orange. Under comparable conditions, aliphatic amines produce a rapid effervescence (due to the development of ${{\text{N}}_{\text{2}}}$  gas).

  1. Aniline and benzylamine 

Ans. The reactions of aniline and benzylamine with nitrous acid, which is made in situ from a mineral acid and sodium nitrite, differentiate them. With the development of nitrogen gas, benzylamine interacts with nitrous acid to create an unstable diazonium salt, which then yields alcohol.

${{\text{C}}_{\text{6}}}{{\text{H}}_{\text{5}}}{\text{C}}{{\text{H}}_2} - {\text{N}}{{\text{H}}_{\text{2}}}{\text{ +  HN}}{{\text{O}}_{\text{2}}}\xrightarrow{{{\text{NaN}}{{\text{O}}_2} + {\text{ HCl}}}}[{{\text{C}}_{\text{6}}}{{\text{H}}_{\text{5}}}{\text{C}}{{\text{H}}_{\text{2}}} - {{\text{N}}_{\text{2}}}^{\text{ + }}{\text{C}}{{\text{l}}^ - }]\xrightarrow{{{{\text{H}}_2}{\text{O}}}}{{\text{C}}_{\text{6}}}{{\text{H}}_{\text{5}}}{\text{C}}{{\text{H}}_{\text{2}}} - {\text{OH  +  HCl  +  }}{{\text{N}}_{\text{2}}}$ Aniline, on the other hand, forms a stable diazonium salt when it interacts with ${\text{HN}}{{\text{O}}_{\text{2}}}$  at a low temperature. As a result, no nitrogen gas is produced.

${{\text{C}}_{\text{6}}}{{\text{H}}_{\text{5}}}{\text{N}}{{\text{H}}_{\text{2}}}\xrightarrow[{{\text{273 K}} - {\text{ 278 K}}}]{{{\text{NaN}}{{\text{O}}_2} - {\text{ HCl}}}}{{\text{C}}_{\text{6}}}{{\text{H}}_{\text{5}}}{{\text{N}}_{\text{2}}}^{\text{ + }}{\text{C}}{{\text{l}}^ - }{\text{ +  NaCl  +  2}}{{\text{H}}_{\text{2}}}{\text{O}}$ 

  1. Methylamine and methanol 

Ans. Methylamine gives the carbylamine test, in which a primary amine when heated with chloroform and potassium hydroxide produces a foul smelling isocyanides. Whereas, ethanol does not give positive carbylamine test. 

  1. Methylamine and N, N-dimethylamine

Ans. N,N-dimethylamine is a secondary amine and methylamine is a primary amine and the only test used to distinguish between a primary and a secondary amine is the carbylamines test. 

Aliphatic and aromatic primary amines create foul-smelling isocyanides or carbylamines when heated with chloroform and ethanolic potassium hydroxide. The Carbylamine test is positive for methylamine (an aliphatic primary amine), but not for N,N-dimethylamine.

  1. Ethanol and ethanamine

Ans. Test for ethanol: After heating, ethanol produces turbidity when treated with Lucas reagent (anhy. ${\text{ZnC}}{{\text{l}}_{\text{2}}}$ and conc. ${\text{HCl}}$ ).

Test for ethanamine: Ethanamine when treated with ${\text{HN}}{{\text{O}}_{\text{2}}}$ and mixture of ${\text{NaN}}{{\text{O}}_{\text{2}}}$ and dilute ${\text{HCl}}$ gives brisk effervescence as nitrogen gas is evolved in the process.


10. Explain why

(i) The ${\text{C}} - {\text{N}} - {\text{C}}$  bond angle in trimethyl amine is ${108^ \circ }$ 

Ans. The bond angle of ${\text{C}} - {\text{N}} - {\text{C}}$ is ${108^ \circ }$ due to the repulsion between the bulky methyl groups on both the sides of the nitrogen atoms.

(ii) The quaternary ammonium salts having four different alkyl groups are optically active.

Ans. There is no rapid inversion in quaternary ammonium compounds because nitrogen atoms do not have a lone pair of electrons. The optical activity of the nitrogen atom is due to its sigma bonding to four alkyl groups.

(iii) Alkylamines are more basic than ammonia.

Ans. The alkyl group (R) pulls electrons towards nitrogen in alkyl amine due to its electron-releasing nature, making the unshared electron pair more available for sharing with the acid's proton. Therefore, alkyl amines shows more basic nature than ammonia.

(iv) Aniline cannot be prepared by Gabriel phthalimide synthesis.

Ans. Because aryl halides cannot undergo nucleophilic substitution with the anion produced by phthalimide, Gabriel phthalimide synthesis technique cannot produce aniline.

(v) Garbriel phthalimide synthesis is preferably used for synthesising primary amines.

Ans. This process is used to make primary amines from primary alkyl halides. Because secondary and tertiary amines are not generated during this synthesis, only pure primary amines are produced, which is why this reaction is favoured for primary amine production. N-Alkyl Phthalimide is formed as a result of this reaction.

(vi) Ethylamine is soluble in water but aniline is not.

Ans. When ethylamine is mixed with water, it creates intermolecular hydrogen bonds. However, due to the presence of a large hydrophobic $ - {{\text{C}}_{\text{6}}}{{\text{H}}_{\text{5}}}$  group, aniline does not form hydrogen bond with water to a great amount. As a result, aniline is water insoluble.

(vii) Amines are soluble in dilute ${\text{HCl}}$ .

Ans. The amines become charged when they receive an ${{\text{H}}^{\text{ + }}}$ ion from the acid, allowing them to form (strong) ion-dipole interactions with water molecules. It basically turns into a salt and dissolves in the same way that table salt does in a glass of water.

(viii) Amines have lower boiling point than alcohols of comparable molecular masses.

Ans. Because nitrogen is less electronegative than oxygen, amines have lower boiling points than alcohols. As a result, the ${\text{N}} - {\text{H}}$  bond is less polar than the ${\text{O}} - {\text{H}}$  bond, and the hydrogen bond between amines and alcohols is weaker.

(ix) 1° amines have higher boiling points than 2° amines which in turn, are higher boiling than 3° amines.

Ans. Because primary amines have replacement hydrogen atoms that are accessible for hydrogen bonding, they have a higher boiling point than tertiary amines. The boiling point of tertiary amine rises due to hydrogen bonding because more heat is required to break these hydrogen bonds.

(x)The ${\text{p}}{{\text{K}}_{\text{b}}}$ value of benzeneamine is 9.33 while that of ammonia is 4.75.

Ans. The ${\text{p}}{{\text{K}}_{\text{b}}}$ value of benzylamine is more than ammonia because ammonia is more basic than benzyl amine. Higher ${\text{p}}{{\text{K}}_{\text{b}}}$value indicates lower basicity.

(xi) Aniline does not undergo Friedel-Crafts reaction.

Ans. Because the reagent ${\text{AlC}}{{\text{l}}_{\text{3}}}$  (the Lewis acid employed as a catalyst in Friedel crafts reactions) is electron deficient, it functions as a Lewis base and does not undergo Friedel craft reactions. It attacks the lone pair of nitrogen in aniline, forming an insoluble complex that precipitates out, stopping the process. That is why aniline does not undergo Friedal-Crafts reaction.

(xii)Aniline readily forms 2, 4, 6-tribromoaniline on reaction with bromine water.

Ans. Because of the nitrogen atom and the low ${\text{ + I}}$  impact of hydrogen, aniline is a strongly activating group. This results in a highly dense electron cloud in benzene, resulting in a strong reaction with Br water, yielding 2, 4, 6-Tribromoaniline.

(xiii) Sulphanilic acid is insoluble in water.

Ans. Because it cannot establish hydrogen bonds with water molecules, sulphanilic acid is insoluble in both water and acid. However, it is soluble in aqueous mineral acids such as ${\text{HF}}$ , ${\text{HCl}}$ , and ${\text{HN}}{{\text{O}}_{\text{3}}}$  because mineral acids may form hydrogen bonds with them.

(xiv)Methylamine in water reacts with ferric chloride to precipitate hydrated ferric oxide.

Ans. In water, methylamine interacts with ferric chloride to form ferric hydroxide. Methylamine is more basic than water due to the ${\text{ + I}}$  action of the $ - {\text{C}}{{\text{H}}_{\text{3}}}$  group. As a result, methylamine creates ${\text{O}}{{\text{H}}^ - }$  ions in water by absorbing ${{\text{H}}^{\text{ + }}}$  ions from the environment. Methyl amine is a base that produces hydroxide ions when it dissolves in water. 

(xv)Diazonium salt of aromatic amines are more stable than the diazonium salts of aliphatic amines.

Ans. The positive charge on the benzene ring disperses due to resonance. The diazonium ion's stability is due to this resonance. As a result, aromatic amine diazonium salts are more stable than aliphatic amine diazonium salts.

(xvi)Although amino group is o, p-directing in aromatic electrophilic substitution reactions, aniline on nitration gives a substantial amount of m-nitroaniline.

Ans. Nitration takes place in an acidic environment. Aniline is protonated to yield anilinium ion in an acidic media (which is meta-directing).


11. Why do amines act as nucleophiles? Give example of a reaction in which methylamine acts as a nucleophile.

Ans. Nucleophiles are aliphatic amines. This is owing to the fact that nitrogen has a lone pair of electrons. Aromatic amines are nucleophiles but not nucleophiles. This is due to the fact that the lone pair of electrons on nitrogen in aromatic amines is in resonance with the benzene ring and hence unavailable to nucleophile attack.

Methyl amine acts as a nucleophile in the following reaction:

When the lone pair on methyl amine reacts with the hydrogen ion, then it acts as a base:


The missing reagents/products


When the lone pair on methyl amine reacts with any other atom other than the hydrogen , then it acts as a nucleophile:

Conversion of 4-methyl aniline to 3-Bromo4methylaniline


12. Three isomeric amines A, B and C have the molecular formula ${{\text{C}}_{\text{3}}}{{\text{H}}_{\text{9}}}{\text{N}}$ . Compound A on reaction with benzene sulphonyl chloride forms a product which is soluble in ${\text{NaOH}}$ . Compound B on reaction with benzene sulphonyl chloride forms a product which is insoluble in ${\text{NaOH}}$  and compound C does not react with benzene sulphonyl chloride. Identify A, B and C.

Ans. The test shown is the hinsberg test for the detection of primary, secondary and tertiary amines:

Compound A is a primary amine because it forms a compound soluble in sodium hydroxide after the reaction with benzene sulphonyl chloride, compound A is propyl amine or propan-1-amine.


Basic nature of amine


Compound B is a secondary amine because it forms a compound insoluble in sodium hydroxide after the reaction with benzene sulphonyl chloride, compound B is N-methylethaneamine.


Reaction of amine with electrophile


Compound C is a tertiary amine because it does not react with benzene sulphonyl chloride and hence does not give a hinsberg test, compound C is trimethylamine or N,N-dimethylmethaneamine.

Primary amine


13. An organic compound A ${\text{(}}{{\text{C}}_{\text{2}}}{{\text{H}}_{\text{3}}}{\text{N)}}$  is used as a solvent of choice for many organic reactions because it is not reactive in mild acidic and basic conditions. Compound A on treatment with ${\text{Ni/}}{{\text{H}}_{\text{2}}}$  forms B. When B is treated with nitrous acid at 273 K, ethanol is obtained. When B is warmed with chloroform and ${\text{NaOH}}$ , a foul smelling compound C formed. Identify A, B and C.

Ans. The compound A is methyl cyanide which on undergoing reduction with ${\text{Ni/}}{{\text{H}}_{\text{2}}}$ forms compound B which is ethanamine. Ethanamine when reacted with nitrous acid produces ethanol and when ethanamine is warmed with chloroform and sodium or potassium hydroxide it produces a foul smelling compound C which is ethyl isocyanide. The reactions are given below:


Secondary amine


14. An organic compound [A] ${{\text{C}}_{\text{3}}}{{\text{H}}_{\text{6}}}{{\text{O}}_{\text{2}}}$  on reaction with ammonia followed by heating yield B. Compound B on reaction with ${\text{B}}{{\text{r}}_{\text{2}}}$  and alc. ${\text{NaOH}}$  gives compound C ${\text{(}}{{\text{C}}_{\text{2}}}{{\text{H}}_{\text{7}}}{\text{N)}}$ . Compound C forms a foul smelling compound D on reaction with chloroform and ${\text{NaOH}}$ . Identify A, B, C, D and the write the equations of reactions involved.

Ans. Compound A is propionic acid which on reaction with ammonia and after heating yields compound B which is propanamide. Compound B which is propanamide on reaction with bromine and alcoholic sodium hydroxide yields compound C which is ethylamine. Ethylamine on reaction with chloroform and sodium hydroxide gives a foul smelling compound D which is ethyl isocyanide.

The reaction is given as:

${\text{C}}{{\text{H}}_{\text{3}}}{\text{C}}{{\text{H}}_{\text{2}}}{\text{COOH}}\xrightarrow{{{\text{N}}{{\text{H}}_3}\;}}{\text{C}}{{\text{H}}_{\text{3}}}{\text{C}}{{\text{H}}_{\text{2}}}{\text{CO}}{{\text{O}}^ - }{\text{N}}{{\text{H}}_{\text{4}}}^{\text{ + }}\xrightarrow[\Delta ]{}{\text{C}}{{\text{H}}_{\text{3}}}{\text{C}}{{\text{H}}_{\text{2}}}{\text{CON}}{{\text{H}}_{\text{2}}}\xrightarrow{{{\text{NaOH/B}}{{\text{r}}_2}}}{\text{C}}{{\text{H}}_{\text{3}}}{\text{C}}{{\text{H}}_{\text{2}}}{\text{N}}{{\text{H}}_2}\xrightarrow{{{\text{CHC}}{{\text{l}}_3}/{\text{NaOH}}}}{\text{C}}{{\text{H}}_{\text{3}}}{\text{C}}{{\text{H}}_{\text{2}}}{\text{N = C}}$


We, at Vedantu, have made sure to include all the important topics in these Class 12 Chemistry Important Questions. Solving them regularly will help the students to be familiar with all the topics and will also help them to analyse their mistakes. Make sure you go through the entire Class 12 Syllabus properly before starting with their preparation.


Related Study Materials for Class 12 Chemistry Chapter 9

S.No

Important Study Material Links for Class 12 Chemistry Chapter 9

1.

CBSE Class 12 Amines Notes

2.

CBSE Class 12 Amines Solutions



CBSE Class 12 Chemistry Chapter-wise Important Questions

CBSE Class 12 Chemistry Chapter-wise Important Questions and Answers cover topics from other chapters, helping students prepare thoroughly by focusing on key topics for easier revision.




Additional Study Materials for Class 12 Chemistry



Conclusion

Vedantu's Important Questions for CBSE Class 12 Chemistry Chapter 9 - Amines provide a comprehensive and valuable resource for students studying this topic. The collection of important questions helps students focus on key concepts and topics, aiding in their understanding and preparation for exams. By practicing these questions, students can enhance their problem-solving skills and gain confidence in tackling different types of questions related to amines. Vedantu's curated set of important questions ensures that students cover all the essential aspects of the chapter, making it a valuable tool for effective learning and exam preparation in CBSE Class 12 Chemistry.

WhatsApp Banner
Best Seller - Grade 12 - JEE
View More>
Previous
Next

FAQs on CBSE Important Questions for Class 12 Chemistry Amines - 2025-26

1. What are some of the most important named reactions from the Amines chapter for the CBSE Class 12 board exam 2025-26?

For the Class 12 Chemistry board exam, the following named reactions from the Amines chapter are frequently asked in 2- or 3-mark questions:

  • Hofmann Bromamide Reaction: A method to prepare primary amines with one carbon atom less than the parent amide.
  • Gabriel Phthalimide Synthesis: A preferred method for preparing pure primary aliphatic amines from primary alkyl halides.
  • Carbylamine Reaction (Isocyanide Test): A definitive test for primary amines, which produce a foul-smelling isocyanide.
  • Coupling Reaction: The reaction of diazonium salts with phenols or aromatic amines to form brightly coloured azo dyes.

2. How can you distinguish between primary, secondary, and tertiary amines using a single chemical test as per the CBSE curriculum?

The Hinsberg's Test is the standard method used to distinguish between primary, secondary, and tertiary amines. It uses benzenesulphonyl chloride (Hinsberg's reagent).

  • Primary Amines react to form a sulphonamide that is soluble in alkali (like NaOH or KOH).
  • Secondary Amines react to form a sulphonamide that is insoluble in alkali.
  • Tertiary Amines do not react with Hinsberg's reagent.
  • This difference in reactivity and solubility is a crucial concept for practical chemistry and board exam questions.

3. Explain why aniline does not undergo the Friedel-Crafts reaction, a typical electrophilic substitution reaction.

Aniline does not undergo the Friedel-Crafts reaction (both alkylation and acylation) due to a specific interaction with the catalyst. The catalyst used is a Lewis acid, typically anhydrous AlCl₃. Aniline, being a Lewis base due to the lone pair of electrons on the nitrogen atom, reacts with the Lewis acid catalyst to form a salt. This deactivates the benzene ring by pulling electrons away from it, making it highly resistant to further electrophilic substitution.

4. Arrange the following compounds in the increasing order of their basic strength in an aqueous solution and justify your answer: C₂H₅NH₂, (C₂H₅)₂NH, (C₂H₅)₃N, NH₃.

The correct increasing order of basic strength in an aqueous solution is: NH₃ < (C₂H₅)₃N < C₂H₅NH₂ < (C₂H₅)₂NH. The basicity of amines in water is determined by a combination of three factors:

  • Inductive Effect (+I): The electron-donating ethyl groups increase the electron density on the nitrogen atom, enhancing basicity.
  • Solvation Effect: The ammonium cation formed after accepting a proton is stabilised by hydrogen bonding with water. More H-atoms on nitrogen lead to better stabilisation.
  • Steric Hindrance: Bulky alkyl groups can block the protonation of the amine.

The secondary amine, (C₂H₅)₂NH, is the strongest base because it has the most favourable combination of the +I effect and solvation, with moderate steric hindrance.

5. Why are aliphatic amines stronger bases than aromatic amines like aniline?

Aliphatic amines are stronger bases than aromatic amines due to the availability of the lone pair of electrons on the nitrogen atom.

  • In aliphatic amines (e.g., ethylamine), the electron-donating alkyl group (+I effect) increases the electron density on the nitrogen, making the lone pair more available for donation.
  • In aromatic amines (e.g., aniline), the lone pair of electrons on the nitrogen atom is delocalised into the benzene ring through resonance. This makes the lone pair less available for protonation, thus reducing its basic strength.

6. Although the amino group is ortho- and para-directing, the nitration of aniline gives a substantial amount of m-nitroaniline. Why is this an important conceptual question?

This is a classic higher-order thinking (HOTS) question. Nitration is carried out in a strongly acidic medium (conc. HNO₃ and conc. H₂SO₄). In this medium, the basic aniline molecule gets protonated to form the anilinium ion (-NH₃⁺). The anilinium group is a powerful electron-withdrawing and deactivating group, which directs the incoming electrophile (NO₂⁺) to the meta-position. This is why a significant amount of m-nitroaniline (around 47%) is formed, along with ortho and para isomers.

7. How would you carry out the conversion of Benzene to Aniline? This is a frequently tested 2-mark conversion.

The conversion of Benzene to Aniline is a two-step process:

  • Step 1: Nitration of Benzene. Benzene is treated with a nitrating mixture (concentrated Nitric acid and concentrated Sulphuric acid) at 323-333 K to form Nitrobenzene.
  • Step 2: Reduction of Nitrobenzene. The nitro group is reduced to an amino group using a reducing agent like Tin and concentrated HCl (Sn/HCl) or Hydrogen gas with a Palladium catalyst (H₂/Pd). This step yields Aniline.

8. Explain why the boiling points of primary amines are higher than tertiary amines of comparable molecular mass.

Primary amines (R-NH₂) have higher boiling points than tertiary amines (R₃N) because primary amines can form strong intermolecular hydrogen bonds with each other due to the presence of two hydrogen atoms bonded to the nitrogen. Tertiary amines lack hydrogen atoms bonded to nitrogen and therefore cannot form hydrogen bonds. More energy is required to overcome these strong intermolecular forces in primary amines, resulting in a higher boiling point.

9. What is the significance of diazonium salts in organic chemistry, making them a crucial topic for board exams?

Benzene diazonium chloride is a highly valuable intermediate in organic synthesis because the diazonium group (-N₂⁺Cl⁻) is an excellent leaving group and can be easily replaced by various nucleophiles. This allows for the synthesis of a wide range of substituted benzene compounds that are difficult to prepare directly. Important reactions include:

  • Sandmeyer Reaction: Replacement by -Cl, -Br, or -CN.
  • Gattermann Reaction: Replacement by -Cl or -Br using copper powder.
  • Replacement by -I, -F, -OH, and -H.
  • Coupling Reactions: To form azo dyes.

10. An organic compound 'A' with molecular formula C₃H₉N reacts with benzenesulphonyl chloride to form a product soluble in NaOH. Identify compound 'A'.

This question tests the application of the Hinsberg's Test. The fact that the product is soluble in NaOH indicates that the amine is a primary amine. The primary amine with the molecular formula C₃H₉N is Propan-1-amine (CH₃CH₂CH₂NH₂) or Propan-2-amine ((CH₃)₂CHNH₂). Both are valid answers as they are primary amines and isomers.

11. Why can't aromatic primary amines like aniline be prepared by the Gabriel Phthalimide synthesis?

The Gabriel Phthalimide synthesis is not suitable for preparing aromatic primary amines like aniline for a key reason related to reaction mechanisms. The method relies on the nucleophilic substitution of an alkyl halide by the phthalimide anion. However, the C-X bond in aryl halides (like chlorobenzene) has a partial double-bond character due to resonance, making it very difficult to break. Therefore, aryl halides do not undergo this nucleophilic substitution reaction, preventing the formation of aniline.

12. Identify A, B, and C in the following reaction sequence, a common 3-mark problem: CH₃CH₂I --(NaCN)--> A --(OH⁻/Partial Hydrolysis)--> B --(Br₂/NaOH)--> C

This is a typical multi-step synthesis problem often asked in exams. The sequence of products is as follows:

  • Compound A is Propanenitrile (CH₃CH₂CN), formed by nucleophilic substitution of iodide by cyanide.
  • Compound B is Propanamide (CH₃CH₂CONH₂), the result of partial hydrolysis of the nitrile.
  • Compound C is Ethanamine (CH₃CH₂NH₂), formed via the Hofmann Bromamide degradation reaction, where the amide is converted to a primary amine with one less carbon atom.