Courses
Courses for Kids
Free study material
Offline Centres
More
Store Icon
Store

Carbohydrates in Biology: Structure, Classification & Key Roles

share icon
share icon
banner

What Are Carbohydrates? Definition, Types, and Importance for Students

Carbohydrates are one of the most crucial macronutrients required by our bodies for energy, growth, and maintenance. From powering our daily activities to supporting various biological processes, carbohydrates play an essential role in sustaining life. In this guide, we will learn about the carbohydrate structure, explore the classification of carbohydrates with examples, discuss the properties of carbohydrates, examine types of carbohydrates with examples, and highlight the sources of carbohydrates. By the end, you will also find answers to important questions such as how many types of carbohydrates are there and how to make healthier carbohydrate choices.


Also Read: Human Digestive System


Carbohydrate examples


Understanding Carbohydrates Structure

At their most basic level, carbohydrates are organic molecules composed of carbon (C), hydrogen (H), and oxygen (O) in a general ratio often written as Cn_nn​(H2_22​O)n_nn​. Although the exact carbohydrate structure can vary depending on the number and arrangement of atoms, they fundamentally comprise sugar units (saccharides).


carbohydrates structure - MONOSACCHARIDE


  1. Monosaccharides: These are the simplest units, containing just one sugar molecule. Common examples include glucose, fructose, and galactose.

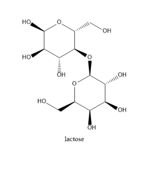
  2. Disaccharides: Formed when two monosaccharide units join together, e.g., sucrose (table sugar), lactose (milk sugar), and maltose.


carbohydrates structure - DISACCHARIDE


  1. Polysaccharides: Large, complex chains of many sugar units (e.g., starch, glycogen, and cellulose).


carbohydrates structure - POLYSACCHARIDE


How Many Types of Carbohydrates Are There?

  1. Monosaccharides (one sugar unit)

  2. Disaccharides (two sugar units)

  3. Oligosaccharides (2–9 sugar units)

  4. Polysaccharides (multiple sugar units)


Each category has distinct properties of carbohydrates and roles in our diet, which we will see in the sections below.


Classification of Carbohydrates with Examples

To better understand the types of carbohydrates with examples, let us look at the classification in detail:


1. Simple Carbohydrates

Simple carbohydrates quickly break down in the body and cause a rapid rise in blood sugar levels. They include:


  • Monosaccharides: Glucose (present in fruits, honey), fructose (abundant in fruits), galactose (found in dairy).

  • Disaccharides:

    • Sucrose: Commonly known as table sugar, also naturally present in sugarcane and fruits.

    • Lactose: The main sugar in milk and other dairy products.

    • Maltose: Found in malted drinks, cereals, and certain processed foods.


2. Oligosaccharides

Oligosaccharides consist of 2–9 monosaccharide units. They are present in foods such as legumes, onions, garlic, and some whole grains. Although less commonly discussed, they are vital for gut health and act as prebiotics for beneficial gut bacteria.


3. Complex Carbohydrates

Complex carbohydrates are formed by long, intricate chains of sugar molecules. They include:


  • Polysaccharides:

    • Starch: Present in potatoes, corn, rice, and wheat-based products. Starch itself has two components—amylose (linear) and amylopectin (branched).

    • Glycogen: The storage form of glucose in animals, primarily found in muscle and liver cells.

    • Cellulose: A structural carbohydrate in plant cell walls; though humans cannot fully digest it, it is crucial as dietary fibre.


By examining these carbohydrate examples, we can see how each type contributes differently to our health.


Properties of Carbohydrates

Understanding the properties of carbohydrates gives insights into why they are vital for our well-being:


  1. Energy Provision: Carbohydrates are the primary fuel for our cells, tissues, and organs.

  2. Storage of Energy: Excess glucose is stored as glycogen in muscles and the liver.

  3. Structural Support: Certain carbohydrates (e.g., cellulose and chitin) form structural components in plants and some animals.

  4. Role in Metabolism: Carbohydrates help in fat metabolism and prevent the body from breaking down proteins for energy.

  5. Impact on Digestive Health: Dietary fibre (a complex carbohydrate) supports healthy digestion and bowel movement.


Types of Carbohydrates with Examples and Their Dietary Impact

Let us explore the types of carbohydrates with examples in terms of their impact on diet and health:


Good (Complex) Carbohydrates

  • Whole Grains (brown rice, oats, whole wheat): Rich in vitamins, minerals, and dietary fibre.

  • Legumes (beans, lentils): Provide protein along with complex carbohydrates.

  • Vegetables (broccoli, spinach, peas): Contain fibre, essential nutrients, and fewer calories.


Bad (Refined) Carbohydrates

  • Refined Sugars (candies, pastries, soft drinks): High in calories, low in nutrients.

  • White Bread and White Rice: Stripped of bran and germ, thereby losing much of their nutritional value.

  • Highly Processed Foods: Often loaded with added sugars, sodium, and unhealthy fats.


Balancing these categories is key. Consuming mostly good carbohydrates helps maintain steady energy levels, supports digestion, and reduces the risk of weight gain and related health issues.


Also Read: Photosynthesis


Sources of Carbohydrates in Our Daily Diet

A balanced approach to carbohydrate intake begins with knowing the top sources of carbohydrates:


  1. Grains: Wheat, rice, oats, barley, and products like bread, pasta, and cereals.

  2. Fruits: Apples, bananas, berries, and citrus fruits provide simple sugars along with vitamins and antioxidants.

  3. Vegetables: Potatoes, peas, corn, and green leafy vegetables offer both starch and fibre.

  4. Legumes and Pulses: Lentils, beans, and chickpeas are excellent sources of complex carbohydrates and proteins.

  5. Dairy Products: Milk, cheese, and yoghurt contain lactose, a natural sugar.

  6. Nuts and Seeds: Though not particularly high in carbohydrates, they still contribute to the overall carb count and offer healthy fats.


Including these sources of carbohydrates in a balanced diet helps ensure you receive adequate energy and essential nutrients.


Role of Carbohydrates in the Body

  • Immediate Energy: Glucose derived from carbs is the body’s main energy source.

  • Storage Energy: Glycogen, the stored form of glucose, can be tapped into when blood sugar is low (e.g., between meals or during physical activity).

  • Protein Sparing: When enough carbohydrates are available, the body preserves proteins for growth and repair instead of using them for energy.

  • Fat Oxidation: An adequate carbohydrate intake ensures fats are efficiently broken down, preventing the formation of harmful by-products (ketones).


Read More: Nervous System


Additional Unique Insights – The Glycaemic Index and Beyond

While properties of carbohydrates emphasise their energy-yielding function, there are other factors to consider for overall health:


  1. Glycaemic Index (GI): This measures how quickly a carbohydrate-containing food raises blood sugar levels. Low-GI foods (e.g., whole grains, and legumes) help keep blood sugar stable.

  2. Fibre and Gut Health: Complex carbs rich in fibre not only promote digestion but also feed gut microbiota, supporting immunity and metabolism.

  3. Carbohydrate Deficiencies: Insufficient carbohydrate intake may lead to fatigue, difficulty concentrating, and in severe cases, ketosis.

  4. Balancing Act: Carbohydrate needs vary based on age, activity level, and overall health goals. Athletes, for instance, often require higher carb intake for endurance and performance.


By focusing on both quality and quantity, you can harness the full potential of carbohydrates for a healthier lifestyle.


Furthermore:

Want to read offline? download full PDF here
Download full PDF
Is this page helpful?
like-imagedislike-image

FAQs on Carbohydrates in Biology: Structure, Classification & Key Roles

1. What exactly are carbohydrates?

Carbohydrates are essential biomolecules made of carbon, hydrogen, and oxygen atoms. They are the body's main source of fuel, providing the energy needed for all cellular activities and physical exercise. You can find them in a wide variety of foods, including fruits, grains, and vegetables.

2. What are the main types of carbohydrates I should know about?

Carbohydrates are generally classified into three main groups based on their chemical structure:

  • Monosaccharides: These are the simplest sugars, like glucose and fructose.
  • Disaccharides: These are formed when two simple sugars join together, such as sucrose (table sugar) and lactose (milk sugar).
  • Polysaccharides: These are complex carbohydrates made of long chains of sugar units. Examples include starch in plants and glycogen in animals.

3. What are some common examples of carbohydrates in everyday foods?

You can find different types of carbohydrates in the food you eat daily. For example, glucose is found in fruits and honey, sucrose is the regular sugar you add to tea, lactose is in milk and dairy products, and starch is abundant in potatoes, rice, and bread.

4. What is the real difference between simple and complex carbohydrates?

The difference lies in their structure and how the body digests them. Simple carbohydrates (like sweets and juices) are made of one or two sugar units, so they are broken down quickly, causing a rapid spike in energy. Complex carbohydrates (like oats and brown rice) are long chains of sugars that take longer to digest, providing a slower, more sustained release of energy.

5. Why are carbohydrates so important for our body to function properly?

Carbohydrates are vital for several reasons. Their primary role is to provide energy for everything from breathing to running. The brain, in particular, relies almost exclusively on glucose for its functions. They also help spare proteins from being used as an energy source, allowing them to perform their main job of building and repairing tissues.

6. What happens in our body when we eat more carbohydrates than we need?

When you consume excess carbohydrates, your body first converts the extra glucose into glycogen, which is stored in your liver and muscles for later use. However, these storage spaces are limited. Once they are full, the body converts any remaining glucose into fat, which can lead to weight gain over time.

7. Why can humans digest the starch in potatoes but not the cellulose in grass?

This is due to the different chemical bonds linking the glucose units. Starch has alpha glycosidic bonds, which human digestive enzymes can easily break down. Cellulose, on the other hand, has beta glycosidic bonds. Humans lack the specific enzyme, called cellulase, required to break these bonds, so cellulose passes through our digestive system as dietary fibre.

8. How do the carbohydrates we eat actually get converted into usable energy?

After you eat carbohydrates, your digestive system breaks them down into glucose. This glucose enters your bloodstream and is transported to your cells. Inside the cells, a process called cellular respiration occurs, which converts the glucose into ATP (adenosine triphosphate). ATP is the chemical energy currency that powers almost all activities in the cell.


Competitive Exams after 12th Science
tp-imag
bottom-arrow
tp-imag
bottom-arrow
tp-imag
bottom-arrow
tp-imag
bottom-arrow
tp-imag
bottom-arrow
tp-imag
bottom-arrow